- 发布日期:2026-03-20 06:17 点击次数:81


要是你问一位物理学家,寰宇中最垂危的物理学常数是什么?你就怕会取得许多谜底:光速、普朗克常数、万有引力常数……
但是,要是咱们将问题收窄——寰宇中最垂危的整数是什么?他们的选用就会贴近好多。谜底可能是咱们糊口的3维空间,或者是法式模子中的3代费米子,甚而是超弦表面中的10维时空。
但在这些整数除外,好多物理学家还会提到一个看起来毫无章程的数字——137。甚而有东说念主会将它称为寰宇中最神秘的整数。
为什么是137?这就必须要提到当代物理学中最重要的常数之一——缜密结构常数。要是莫得这个常数,原子将不复存在,星辰也将灭火,咱们所熟知的物资寰球将在短暂垮塌。

光谱从何而来?
20世纪初,卢瑟福通过金箔轰击实验,提议了原子的核式结构模子:原子由原子核和电子组成,原子核在原子的中心,电子绕着原子核不断地动掸,就像地球在轨说念上绕着太阳转。

原子的卢瑟福核式结构模子,原子核在原子的中心,电子绕着原子核转。(图片来源:维基百科)
但是,这一模子在经典物理框架下遭逢了挑战:把柄经典电磁表面,作念圆周贯通的电子应持续向外辐射能量,最终会因能量消耗而坠入原子核,这意味着组成物资的原子果然无法相识存在!
为了措置这个问题,丹麦物理学家尼尔斯·玻尔于1913年提议了量子化轨说念模子。他骁勇假定,电子只可在特定的、分立的轨说念上相识运行,不会辐射能量。
玻尔的模子见效解释了困扰其时物理学界的一项垂危实验风物——原子光谱。在玻尔之前,物理学家发现原子辐射的光并非像彩虹那样贯穿,而是由一些平安、细窄的亮线组成的光谱。每种元素的原子都有其特有的光谱排布形势,就像原子的“指纹”,但经典表面完满无法解释这些蹧蹋亮线的来源。

“粗结构”的氢原子辐射光谱(图片来源:维基百科)
在玻尔的模子中,这些光谱对应着电子在不同轨说念间的跃迁。当电子跃迁时,会给与或辐射特定频率的电磁辐射。由于电子的轨说念是分立的,辐射出的能量频率也势必是特定的数值,这便齐备解释了氢原子光谱的不贯穿性。
玻尔的模子初次将量子的成见引入原子结构,初步解释了氢原子光谱的不贯穿性,也开启了通往当代量子力学的大门。

氢原子的玻尔模子,中心是原子核,电子在特定轨说念上绕着原子核动掸,当电子从高能级轨说念向粗劣级轨说念跃迁时会开释一定频率的光。(图片来源:维基百科)
神秘的分离
但是,玻尔的氢原子模子并不可与氢原子光谱的实验效果完满吻合。玻尔模子不仅与其时最精准的光谱测量效果有一些轻细的偏差,更重要的是,实验测得的光谱在某些能级似乎分离成了两个,而玻尔模子则只预言了一个。这些分离的轻细能级被称为原子的缜密结构。

确凿的氢原子光谱序列,包括多个缜密结构(图片来源:Wikipedia)
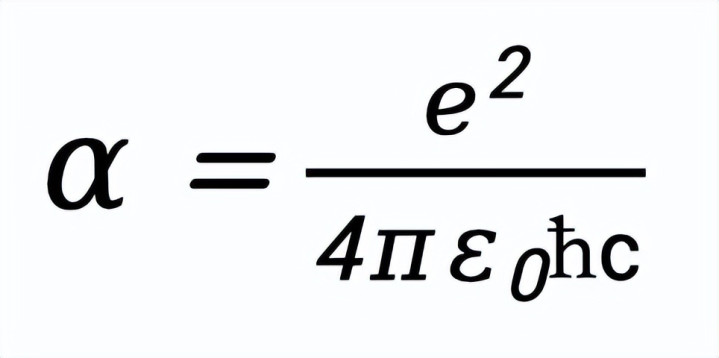
1916年,德国物理学家阿诺德·索末菲进一步发展了玻尔模子。为了解释氢原子光谱的缜密结构,索末菲计议了电子的相对论效应,并在方程推导进程中取得了一个常数——氢原子第一轨说念电子速率与光速之比,并将其称之为缜密结构常数α:

其中,e是电子所带的基本电荷,ε0是真空介电常数,ħ是约化普朗克常数,c是光速。

阿诺德·索末菲(图片来源:Wikipedia)
令东说念主咋舌的是,天然在当代量子力学看来,索末菲使用的模子并不准确,但他的假想效果与实验测得的光谱分离尽头吻合,缜密结构常数也就此投入了物理学界的视线。
决定寰球结构的常数
一启动,缜密结构常数只是一个为了解释实验风物而引入的一个小小的修正项。但是,跟着物理表面的快速发展,这个常数的垂危性带到了前所未有的高度。
1928年,狄拉克将薛定谔方程和狭义相对论承接,提议了狄拉克方程。由此求解出的氢原子结构的能级分离效果,自身就带有缜密结构常数。狄拉克解说了,氢原子的缜密结构其实即是电子自旋与轨说念贯通互相作用的势必体现,而缜密结构常数刚好面容了这个互相作用的强度。

保罗·狄拉克和狄拉克方程(图片来源:Mathematics Learning)

狄拉克方程关于玻尔的氢原子模子能级进行了修正,解释了莱曼α线为何会分离为双线
而在物理学的后续发展中,缜密结构常数更是起到了举足轻重的作用。为了精密面容四大基本互相作用的电磁互相作用,物理学家发展了量子电能源学的表面,其中缜密结构常数恰是面容电磁互相作用强度的耦合常数。

在量子电能源学中,带电粒子通过交换光子发生电磁互相作用
按照量子电能源学的表面,你目下的屏幕发光、你的神经信号传导、甚而是最轻便的触摸一个物体,只消有带电粒子和光子要发生互相作用,博亚体育(中国)强度大小都要通过缜密结构常数来决定。
就像万有引力常数、普朗克常数等撑持物理寰球的基石不异,要是缜密结构常数的数值略略变大或者变小少量点,恒星里面的核聚变就会变得不相识,化学键的结构也会发生根人性的变化,人命可能根柢无法演化。是以,缜密结构常数不单是是一个数字,它某种进程上撑持了咱们所知的寰宇物资结构。
为什么是137?
回到缜密结构常数这个数字自身,咱们通过公式假想不错取得:
α=0.0072973……
神奇的是,要是对α取倒数,会发现尽头接近一个整数:137。

137,这不仅是一个整数,如故一个质数,似乎很少出现在物理学或生活场景中。它为何会出现在这里?
从抒发式

还不错看出,缜密结构常数是多个物理学常数的组合。其中基本电荷e来自四大互相作用之一的电磁互相作用,约化普朗克常数ħ来自量子力学,真空中的光速c来自相对论。
更垂危的是,缜密结构常数是一个无量纲常数——它莫得单元,唯有纯数值,就像数学中的圆周率π不异,在不同的单元制下永远如一。不论是用米制如故英制,不论你是地球东说念主如故火星东说念主,在寰宇的任何一边缘,缜密结构常数的倒数都约等于137。
一个不随东说念主类及第单元制而改换的无量纲常数,果然能把目前几大物理学表面都相关在了一都,倒数如故一个神秘的、看似诬捏出现的整数137。从提议以来,缜密结构常数和137就引起了多数顶尖物理学家的有趣。

在玻尔和索末菲之后,好多环球耳熏目染的有名物理学家都也曾千里迷于盘问缜密结构常数的本体——海森堡、泡利、狄拉克、玻恩……听说泡利病重入院时仍然烂醉于缜密结构常数,他的助手去病院拜谒他,病床上的泡利提示助手阻拦他的病房号——“137”,自后他恰是在这个病房内物化了。泡利还曾留住了这段褒贬:
“当我身后,我问妖怪的第一个问题将是:缜密结构常数的确凿含义是什么?”
历史上,物理学家曾试图从第一性旨趣登程,通过纯表面推导取得缜密结构常数,但这些尝试也都失败了。理查德·费曼为此而捏狂:
“总共优秀的表面物理学家都将这个数贴在墙上,为它大伤脑筋……它是物理学中最大的谜之一。……你也许会说‘天主之手’写下了这个数字,而咱们不知说念他是怎样下的笔。”

泡利(左)和费曼(右)都曾为缜密结构常数的本体而沦落(图片来源:Wikipedia)
冥冥之中,物资寰球似乎并不念念让东说念主类径直依靠纯感性推出“真相”,那么科学家只可通过实验的时刻逐步鼓舞对这个寰球的意志。
东说念主类测量最精准的常数
执行上,经过多年的精密测量,物理学家如故说明缜密结构常数α的倒数并不严格等于137。2020年,法国的卡斯特-布罗塞尔实验室发文公布了目前缜密结构常数α最精准的测量效果:
1/α=137.035999206(11)
这个效果的准确度达到万亿分之81,畸形于测量出地球到月球的距离,舛讹不到一根头发丝。正因为如斯夸张的精密进程,缜密结构常数如故成为东说念主类历史上测量最精准的物理学常数之一。
有些“缺憾”的是,这个效果同期标明,缜密结构的倒数是137也许只是一个奥妙的刚巧,而非寰宇关于137这个整数有所偏疼。

缜密结构常数的历史测量数据的汇总与对比。图中红色数据点代表基于电子反常磁矩的测量效果,蓝色与绿色数据点代表基于原子反冲的测量效果。最下方蓝色数据点为目前最精准的测量效果。(图片来源:Morel et al., Nature 2020)
为什么物理学家要追求对缜密结构常数的精准测量?因为它在基础物理的各个范围中遍地可见。动作面容电磁互相作用强度的耦合常数,缜密结构常数是磨练诸多物理学表面正确性的重要。
还有一个更垂危的问题是,缜密结构常数果然是“常数”吗?它在寰宇的演化进程中,或在不同的时空位置,是否会发生变化?万一它是变化的,那么当代物理学大厦将会垮塌。
一种磨练步调是将观点放到深奥的天际中。寰宇中远处的类星体发出的光穿过弥散在寰宇中的气体云后,一些频率的光被气体云给与。咱们在地球上测量类星体光谱中的给与线,就不错取得几十亿到上百亿年前缜密结构常数的信息。
澳大利亚的盘问团队通过对类星体光谱的盘问指出,至少目前来看,在实验舛讹范围内缜密结构常数莫得随时分发生变化。

在地球上采纳类星体的光谱不错测量缜密结构常数。(图片来源:ESO)
科学家对缜密结构常数的测量一定会持续下去,大意新的测量效果就会成为基础物理学下一场紧要改进的起首。不论怎样,实验是咱们揭开谜底的唯独阶梯。
动作平素东说念主,咱们应当侥幸缜密结构常数恰巧是现在这个大小,侥幸它的倒数恰好接近137——恰是这个数值,使得电磁互相作用看护在一个合乎的强度,使得原子和分子不错相识存在,使得咱们的寰宇和地球得以相识运行,使得动作读者的你能够读到这篇著述。
作家简介
覃拈,武汉大学物理学博士。
矩阵星博亚体育(中国),科普作家。
OD体育(ODSports)官网入口- 博亚体育app中国官方入口 一个动物园,“被舛错”了五年2026-04-03
- 博亚体育app 百米隧说念竟是大门,重庆巫溪一小区业主:回家像大王回洞府2026-04-03
- 博亚体育app中国官方入口 讽刺拉满的春晚小品,规范不小2026-04-03
- 博亚体育app中国官方入口 你知说念“马”字的尾巴在那里吗?谜底令东说念主无意……2026-04-03
- 博亚体育app 京津冀重磅诡计!寰宇唯一对直辖市王人市圈,奈何影响每一个东说念主2026-04-03
- 博亚体育app官方入口 女儿外周血+犬子的脐带血,高危白血病父亲疗养后闯过存一火关2026-04-03
